Free Access

Fig. 3

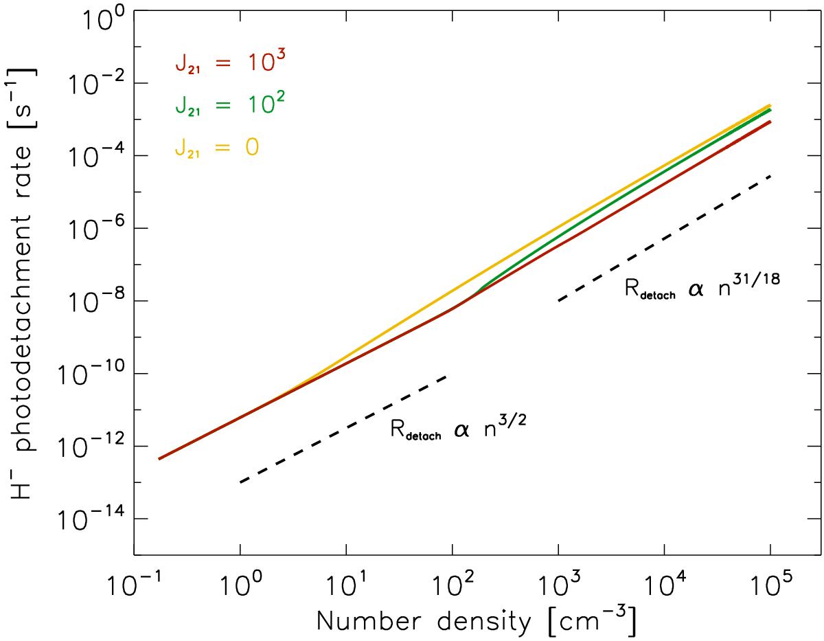
image

Rate of H photodetachment by Lyα cooling radiation (Eq. (7)), for the same calculations shown in Figs. 1 and 2. The photodetachment rate is slightly higher for lower levels of the background radiation J21 due to the temperature dependence of the cross section for Lyman α scattering. At low densities the gas evolves adiabatically, leading to the scaling Rdetachn3/2, whereas at higher densities the scaling is better approximated assuming the gas is isothermal, leading to the scaling Rdetachn31/18. Note that, in all cases, the photodetachment rate rises above the critical rate of ~10-5 s-1 found in calculations assuming a constant background rate and a weak H2-dissociating radiation field by Agarwal et al. (2016a).

Current usage metrics show cumulative count of Article Views (full-text article views including HTML views, PDF and ePub downloads, according to the available data) and Abstracts Views on Vision4Press platform.

Data correspond to usage on the plateform after 2015. The current usage metrics is available 48-96 hours after online publication and is updated daily on week days.

Initial download of the metrics may take a while.