Press Release
Free Access

This article has an erratum: [https://doi.org/10.1051/0004-6361/201630020e]


Fig. 13

image

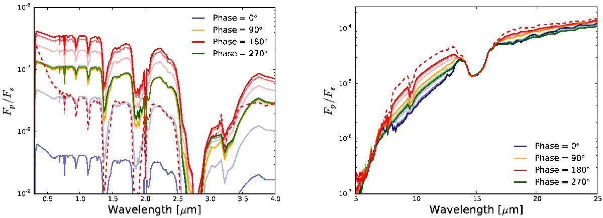
Reflectance (left) and emission (right) spectra for the tidally-locked Earth-like case at four points in the planets orbit. Spectra for observer inclinations of 90°, 60°, and 30° are shown in progressively fainter lines. For comparison, we include the clear-sky flux for the phase =180° spectrum with an observer inclination of 90° (dashed), which highlights the importance of the role of clouds in the shortwave spectrum. The sharp drop-off in the flux ratio at short wavelengths is due to ozone absorption.

This figure is made of several images, please see below:

Current usage metrics show cumulative count of Article Views (full-text article views including HTML views, PDF and ePub downloads, according to the available data) and Abstracts Views on Vision4Press platform.

Data correspond to usage on the plateform after 2015. The current usage metrics is available 48-96 hours after online publication and is updated daily on week days.

Initial download of the metrics may take a while.