Free Access

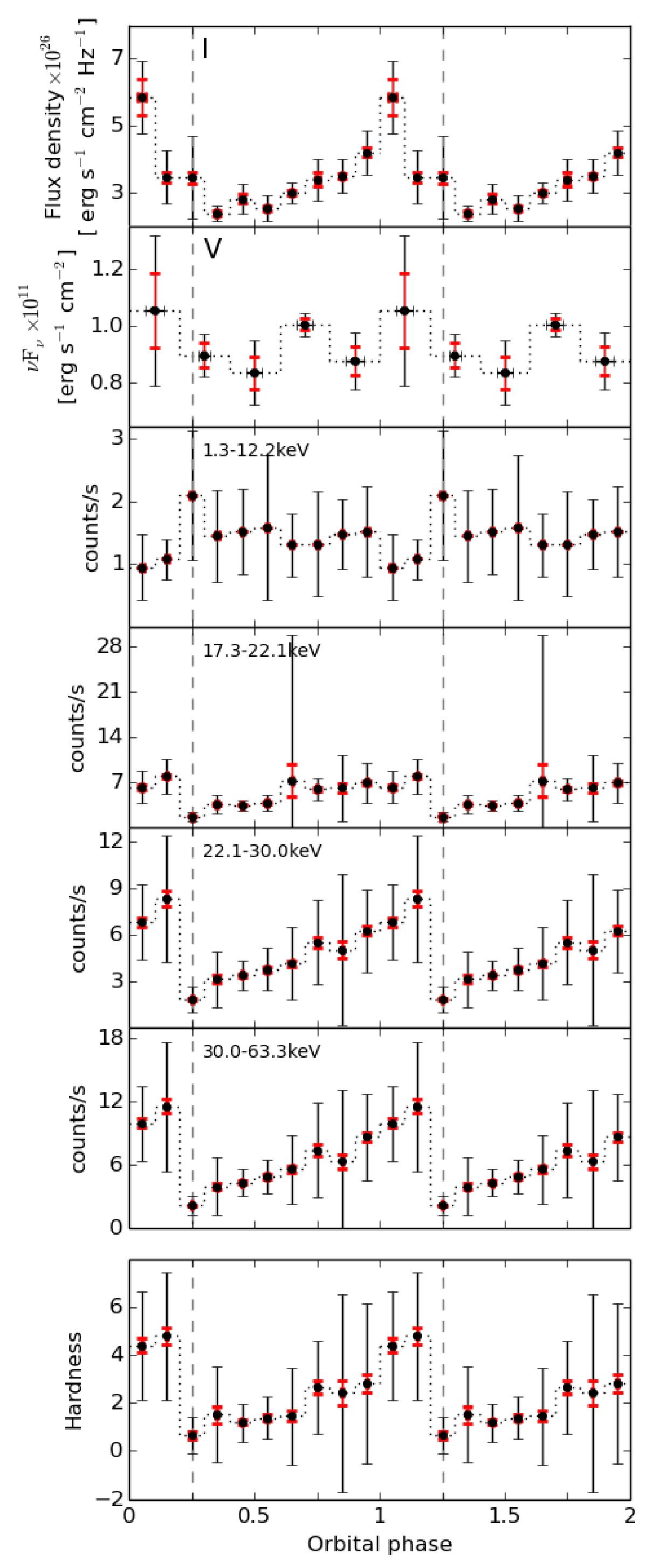
Fig. 5

image

Same as Fig. 4, but with binned data points. The top panels have been created with bin size of 0.2 of orbital phase. In case of other panels bin size of 0.1 of orbital phase was employed. The red error bars represent the standard error of mean. The black error bars represent standard deviation.

Current usage metrics show cumulative count of Article Views (full-text article views including HTML views, PDF and ePub downloads, according to the available data) and Abstracts Views on Vision4Press platform.

Data correspond to usage on the plateform after 2015. The current usage metrics is available 48-96 hours after online publication and is updated daily on week days.

Initial download of the metrics may take a while.