Free Access

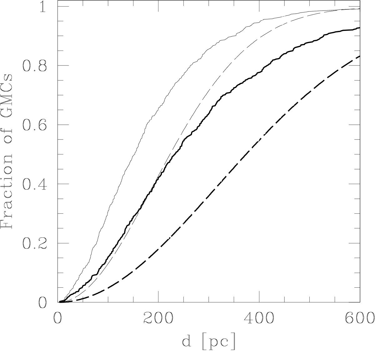
Fig. 9

image

Positional correlation of GMCs with optically visible stellar clusters. We show the fraction of GMCs with at least one YSC at distance d shown as a function of d in parsecs. The dashed line is the fraction expected for random association. The thicker lines refer to YSCs with ages younger than 100 Myr.

Current usage metrics show cumulative count of Article Views (full-text article views including HTML views, PDF and ePub downloads, according to the available data) and Abstracts Views on Vision4Press platform.

Data correspond to usage on the plateform after 2015. The current usage metrics is available 48-96 hours after online publication and is updated daily on week days.

Initial download of the metrics may take a while.