Free Access

Fig. 8

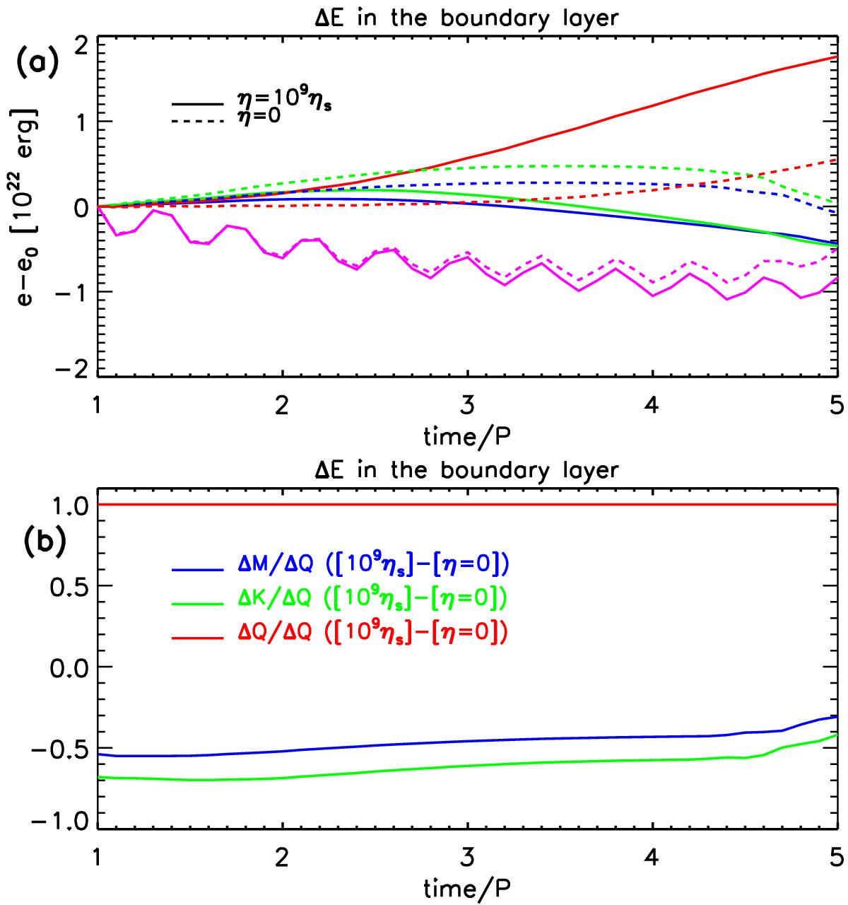
image

a) Difference in energy in the boundary shell between time t and t = 1 P: magnetic (blue lines – Bx, magenta lines – Bz), kinetic (green lines), and thermal (red lines) energy for the simulations with η = 109ηS and η = 0. b) Difference in the energy in the boundary shell between the simulation with η = 109ηS and η = 0 normalized to the thermal energy difference between the two simulations at each time. Note that the horizontal axis in both panels starts at t = 1 P, i.e. when the boundary driving has terminated.

Current usage metrics show cumulative count of Article Views (full-text article views including HTML views, PDF and ePub downloads, according to the available data) and Abstracts Views on Vision4Press platform.

Data correspond to usage on the plateform after 2015. The current usage metrics is available 48-96 hours after online publication and is updated daily on week days.

Initial download of the metrics may take a while.