Free Access

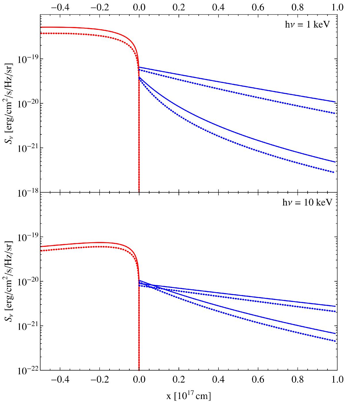
Fig. 3

image

Surface brightness along the line of sight to the limb of a non-relativistic shock as a function of distance x to the shock, for various cases as shown: upper panel at = 1 keV, lower panel at = 10 keV. The solid lines present a complete numerical evaluation of Eq. (15), while the dotted lines correspond to the analytical approximation in the turn-over regime. Two models are shown for the precursor emission: αλ = 1 for the upper lines, i.e. tscattp1/2, and αλ = 0 for the lower lines, i.e. Bohm scaling tscattp. In all cases, βsh = 1/30, nu = 1 cm-3, R = 1 pc, ϵBp = 0.001, and ϵe = 0.01.

Current usage metrics show cumulative count of Article Views (full-text article views including HTML views, PDF and ePub downloads, according to the available data) and Abstracts Views on Vision4Press platform.

Data correspond to usage on the plateform after 2015. The current usage metrics is available 48-96 hours after online publication and is updated daily on week days.

Initial download of the metrics may take a while.