Free Access

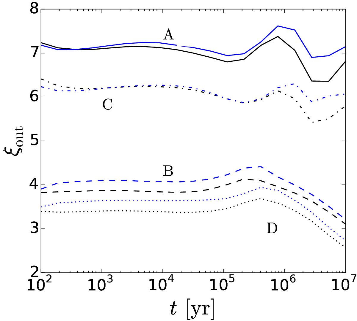
Fig. 2

image

Nondimensional radii ξout of the four cores studied in this paper as functions of time. The core models (see Table 1) are indicated in the figure. The black lines represent our fiducial model described in the text, while the blue lines represent a model where the external molecular layer outside the core is not included.

Current usage metrics show cumulative count of Article Views (full-text article views including HTML views, PDF and ePub downloads, according to the available data) and Abstracts Views on Vision4Press platform.

Data correspond to usage on the plateform after 2015. The current usage metrics is available 48-96 hours after online publication and is updated daily on week days.

Initial download of the metrics may take a while.