Free Access

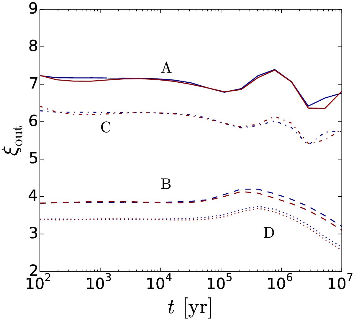
Fig. 7

image

Nondimensional radii ξout of the four cores studied in this paper as functions of time. Linestyles are the same as those in Fig. 2. Red lines reproduce the data from Fig. 2, while blue lines correspond to calculations in the molecular model (see text).

Current usage metrics show cumulative count of Article Views (full-text article views including HTML views, PDF and ePub downloads, according to the available data) and Abstracts Views on Vision4Press platform.

Data correspond to usage on the plateform after 2015. The current usage metrics is available 48-96 hours after online publication and is updated daily on week days.

Initial download of the metrics may take a while.