Free Access

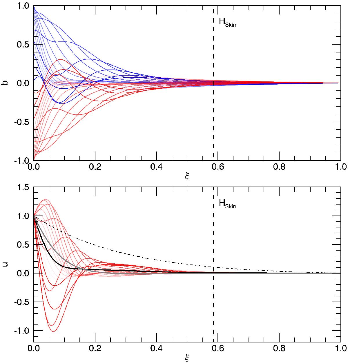
Fig. 4

image

(A) Temporal evolution of the toroidal magnetic field (b) and (B) the azimuthal velocity field amplitude (u) as a function of depth, for one cycle, for a fully relaxed simulation (τ = 100). For the velocity field, only half a cycle is shown as profiles are superimposed for the second half. Lines become darker as time proceeds. The skin depth (dashed line and Eq. (1)) and the initial condition for u (dash-dotted line) are shown. The black line is the azimuthal velocity amplitude averaged over one cycle. This field is subject to radiative spreading and the Lorentz force. As in Sect. 2, poloidal and toroidal magnetic field amplitudes are respectively 1375 G and 13750 G and the phase shift between both magnetic fields is φ = π/ 2. The ohmic diffusivity is η = 7 × 109 cm2/ s and thermal diffusivity is κ = 7 × 109 cm2/ s. The mean velocity amplitude for the viscous case in Fig. 1C is shown in grey.

Current usage metrics show cumulative count of Article Views (full-text article views including HTML views, PDF and ePub downloads, according to the available data) and Abstracts Views on Vision4Press platform.

Data correspond to usage on the plateform after 2015. The current usage metrics is available 48-96 hours after online publication and is updated daily on week days.

Initial download of the metrics may take a while.