Free Access

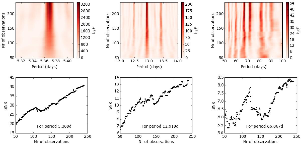
Fig. 8

image

Top: stacked BGLS periodograms of Gl581, colours as in Fig. 1. The same data as Fig. 1 was used. Bottom: S/NK versus amount of observations for the most significant periodicity. Left to right: full dataset, subtracted best fit at 5.37 days, subtracted best fit at 12.9 days.

Current usage metrics show cumulative count of Article Views (full-text article views including HTML views, PDF and ePub downloads, according to the available data) and Abstracts Views on Vision4Press platform.

Data correspond to usage on the plateform after 2015. The current usage metrics is available 48-96 hours after online publication and is updated daily on week days.

Initial download of the metrics may take a while.