Free Access

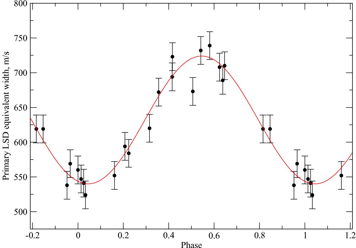
Fig. 4

image

Variations of equivalent width of the LSD line of the primary star of BD-19 5044L, phased with a rotational period of 5.041 d. The origin of the phase system is the first Bz measurement in 2015, from Table 1. The smooth curve is the best sine wave fit to the data.

Current usage metrics show cumulative count of Article Views (full-text article views including HTML views, PDF and ePub downloads, according to the available data) and Abstracts Views on Vision4Press platform.

Data correspond to usage on the plateform after 2015. The current usage metrics is available 48-96 hours after online publication and is updated daily on week days.

Initial download of the metrics may take a while.