Free Access

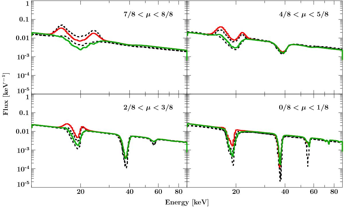
Fig. 4

image

Comparison of this work (solid lines) to Isenberg et al. (1998, their Fig. 7; dashed lines). Red lines denote the slab 1-1 geometry while green lines show the slab 1-0 geometry. The emission in different angular bins is labeled by the cosine of the viewing angle to the magnetic field axis, μ = cosϑ. Temperatures of 7 keV and 8 keV were used for the slab 1-0 and slab 1-1 geometries, respectively.

Current usage metrics show cumulative count of Article Views (full-text article views including HTML views, PDF and ePub downloads, according to the available data) and Abstracts Views on Vision4Press platform.

Data correspond to usage on the plateform after 2015. The current usage metrics is available 48-96 hours after online publication and is updated daily on week days.

Initial download of the metrics may take a while.