Free Access

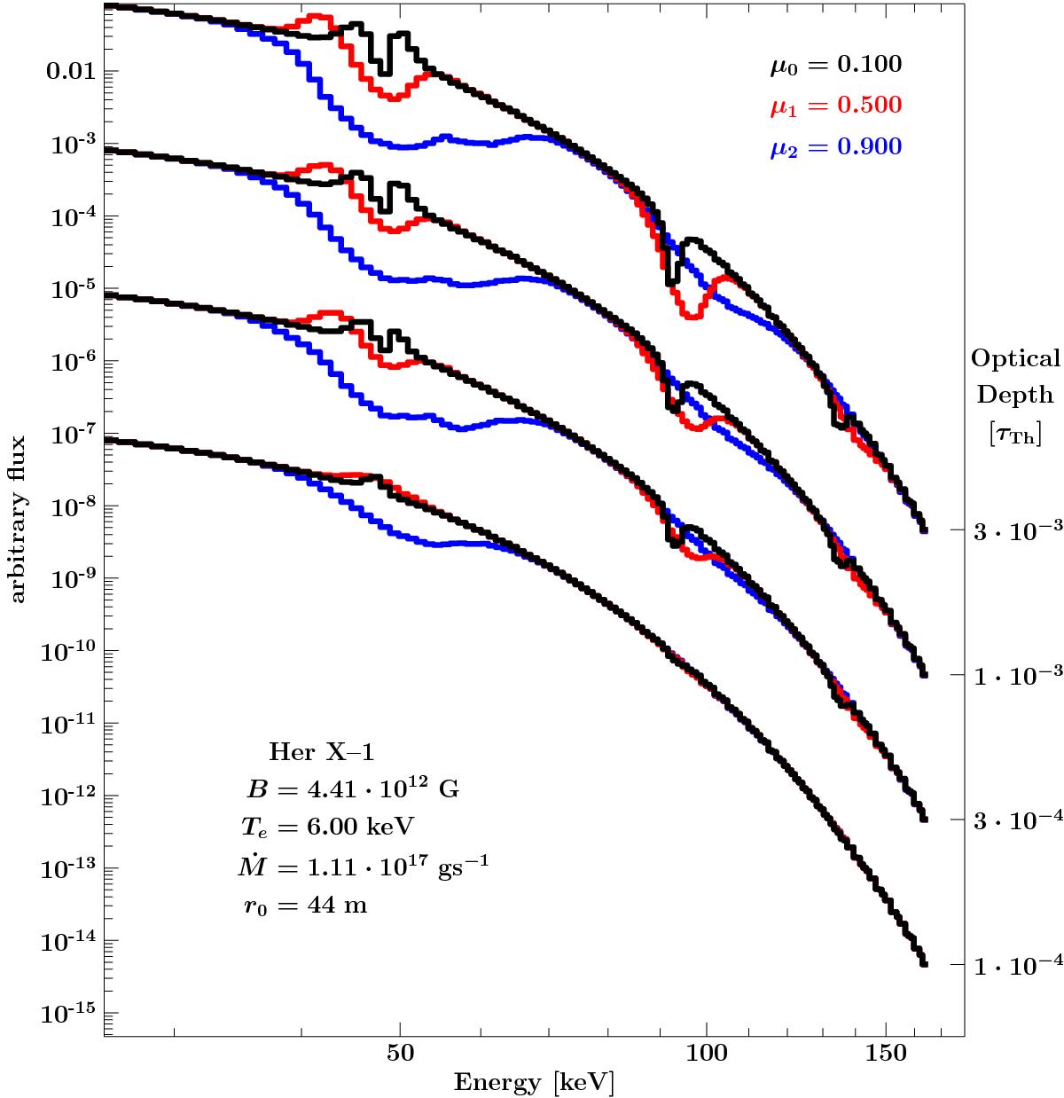
Fig. 5

image

Continuum from Becker & Wolff (2007) with imprinted cyclotron lines for several angles μ = cosϑ to the magnetic field axis and optical depths τ. The continuum parameters are the same as in the spectrum from Becker & Wolff (2007, Fig. 6 therein) for Her X-1. The different colors show three angles to the magnetic field axis. The optical depth is increasing from the bottom to the top as shown by the axis on the right-hand side.

Current usage metrics show cumulative count of Article Views (full-text article views including HTML views, PDF and ePub downloads, according to the available data) and Abstracts Views on Vision4Press platform.

Data correspond to usage on the plateform after 2015. The current usage metrics is available 48-96 hours after online publication and is updated daily on week days.

Initial download of the metrics may take a while.