Free Access

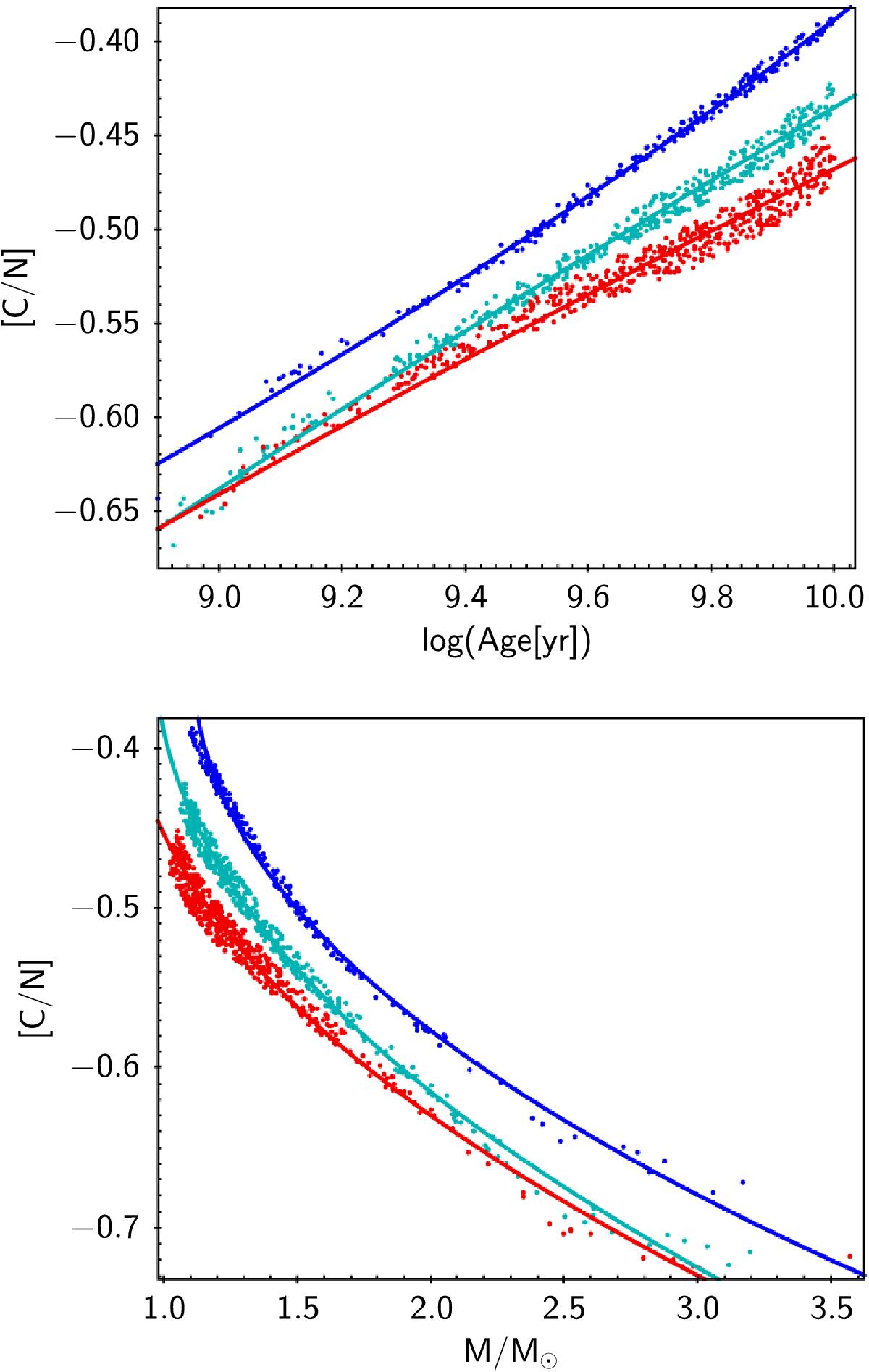
Fig. 6

image

Surface abundance of [C/N] for clump stars as a function of stellar ages (top panel) and stellar masses (bottom panel) for a synthetic thin disc computed with the BGM. Stars are divided in three metallicity-bins: 0.20 [Fe/H] 0.10 (blue dots), 0.05 [Fe/H] +0.05 (green dots), and +0.15 [Fe/H] +0.25 (red dots). Relations between [C/N] and mass and age (Eqs. (3) and (4)) are also shown with the solid lines.

Current usage metrics show cumulative count of Article Views (full-text article views including HTML views, PDF and ePub downloads, according to the available data) and Abstracts Views on Vision4Press platform.

Data correspond to usage on the plateform after 2015. The current usage metrics is available 48-96 hours after online publication and is updated daily on week days.

Initial download of the metrics may take a while.