Free Access

Fig. 4

image

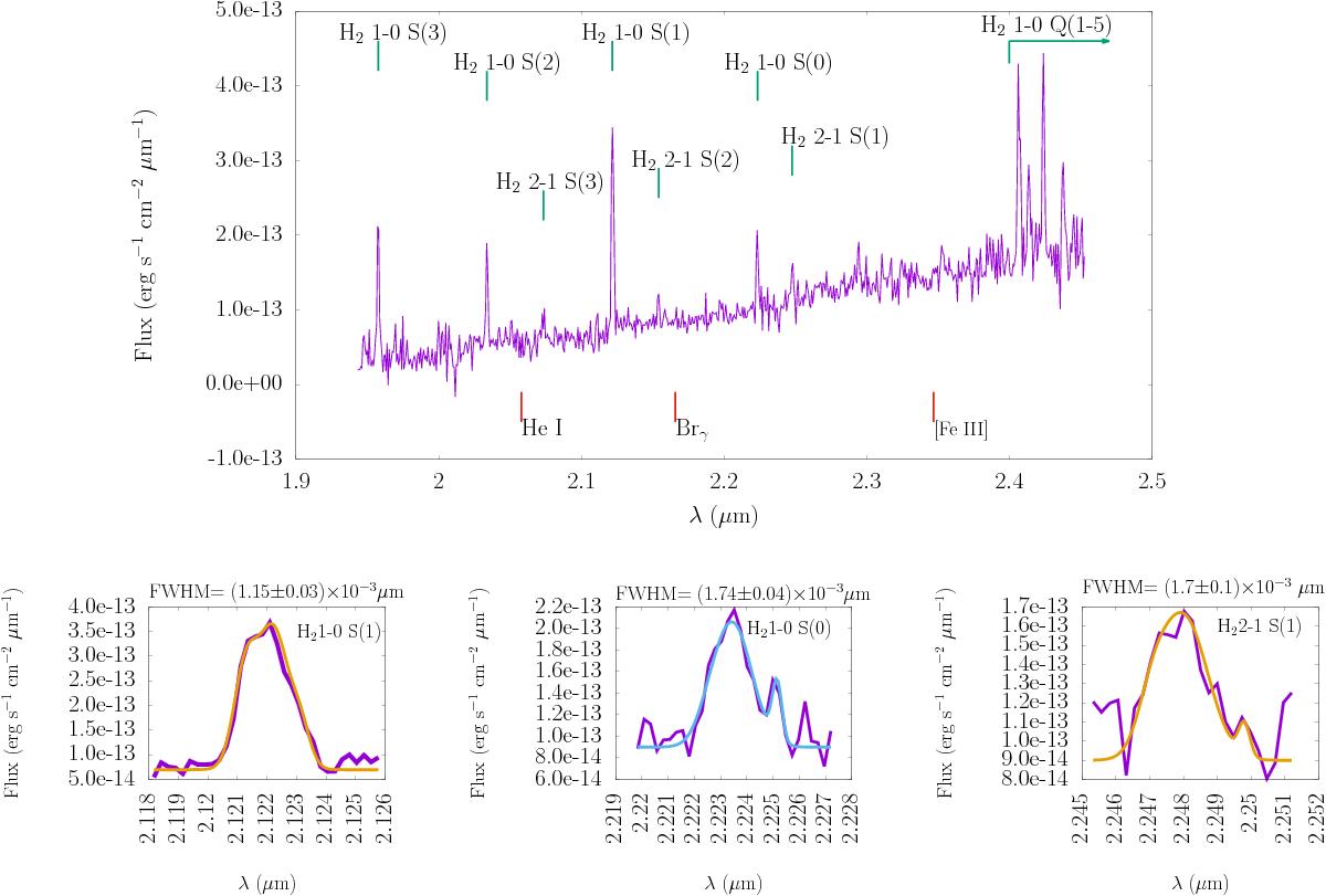
SINFONI K-band spectrum detected toward the WF IRAS 180432116. The Q-branch and low-energy S-branch H2 ro-vibrational transitions dominate the spectra. No energetic H2 ro-vibrational lines were detected, neither Brγ emission lines nor He recombination lines. The bottom panels display the ro-vibrational lines H2 1–0 S(1), H2 1–0 S(0), and H2 2–1 S(1). A simple sum of two Gaussian functions was implemented to fit and then estimate the FWHM of each spectral feature.

Current usage metrics show cumulative count of Article Views (full-text article views including HTML views, PDF and ePub downloads, according to the available data) and Abstracts Views on Vision4Press platform.

Data correspond to usage on the plateform after 2015. The current usage metrics is available 48-96 hours after online publication and is updated daily on week days.

Initial download of the metrics may take a while.