Free Access

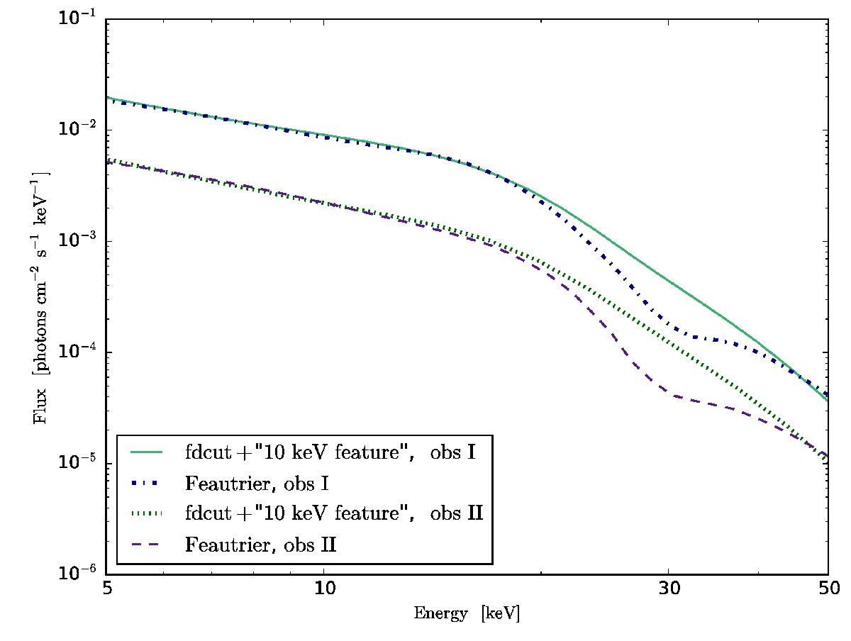
Fig. 9

image

Model spectra with the observed fdcut continua for observations I and II. (I): = 5 × 1016 g s-1, the polar cap radius r0 = 0.38 km, the height of the column z0 = 77 m, ne = 2.66 × 1021 cm-3. (II): = 1.5 × 1016 g s-1, r0 = 0.32 km, z0 = 180 m, electron density ne = 1.12 × 1021 cm-3. The temperature of the scattering electrons is Te = 5 keV in both cases.

Current usage metrics show cumulative count of Article Views (full-text article views including HTML views, PDF and ePub downloads, according to the available data) and Abstracts Views on Vision4Press platform.

Data correspond to usage on the plateform after 2015. The current usage metrics is available 48-96 hours after online publication and is updated daily on week days.

Initial download of the metrics may take a while.