Free Access

Fig. 12

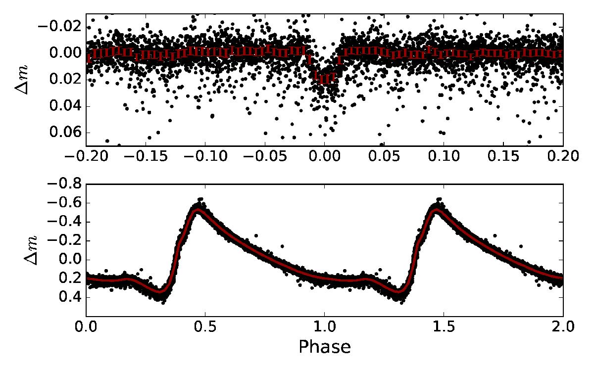
image

Light curves of HD 189733 (top) and RR Lyrae (bottom). For HD 189733 the reduced data (black points) have been folded to the orbital period of HD 189733b and the folded light curve has been binned by 0.005 in phase (red errorbars). The errorbars have been scaled by a factor five for clarity. For RR Lyrae the reduced data has been folded to twice the period of its variability (black points) and the folded light curve has been binned by 0.02 in phase (red line). We note that the scatter away from the red line is primarily caused by residual systematics in the data taken by the zenith camera, which suffers from the strongest vignetting.

Current usage metrics show cumulative count of Article Views (full-text article views including HTML views, PDF and ePub downloads, according to the available data) and Abstracts Views on Vision4Press platform.

Data correspond to usage on the plateform after 2015. The current usage metrics is available 48-96 hours after online publication and is updated daily on week days.

Initial download of the metrics may take a while.