Free Access

Fig. 19

image

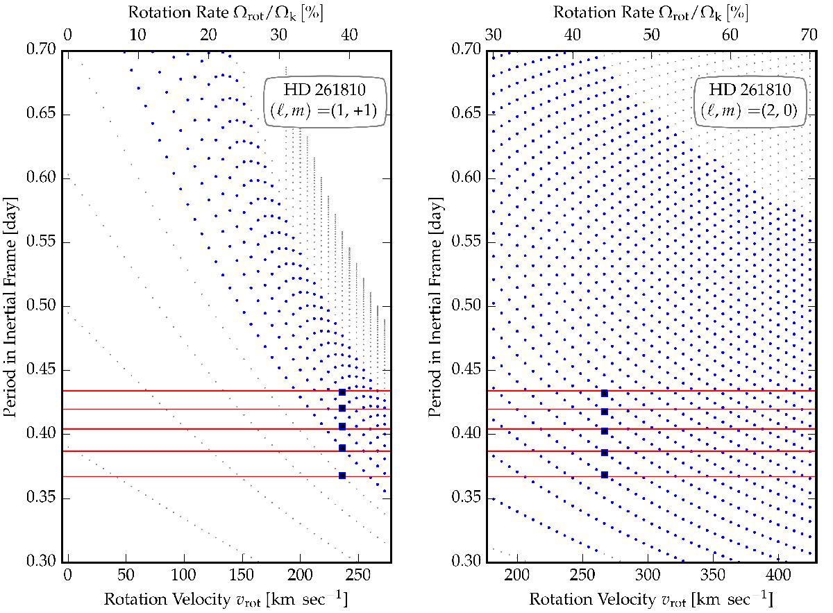
Evolution of mode periods in the inertial frame versus equatorial rotation velocity. The observed periods of HD 261810 are shown with horizontal red lines. The stable modes are shown with gray dots, while the excited modes are shown with blue dots. Left: the dipole prograde modes provide a possible period match for vrot = 235 km s-1. Right: the quadrupole zonal modes can equally provide a fit for vrot = 270 km s-1. Table 14 summarizes the results for different and m.

This figure is made of several images, please see below:

Current usage metrics show cumulative count of Article Views (full-text article views including HTML views, PDF and ePub downloads, according to the available data) and Abstracts Views on Vision4Press platform.

Data correspond to usage on the plateform after 2015. The current usage metrics is available 48-96 hours after online publication and is updated daily on week days.

Initial download of the metrics may take a while.