Free Access

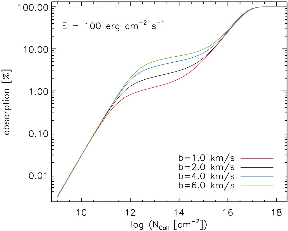
Fig. 8

image

Absorption (in %) caused by one ISM line as a function of Ca ii column density assuming four different values of the broadening b-parameter. The chromospheric emission is E = 100 erg cm-2 s-1. The y-axis is in log scale.

Current usage metrics show cumulative count of Article Views (full-text article views including HTML views, PDF and ePub downloads, according to the available data) and Abstracts Views on Vision4Press platform.

Data correspond to usage on the plateform after 2015. The current usage metrics is available 48-96 hours after online publication and is updated daily on week days.

Initial download of the metrics may take a while.