Highlight
Free Access

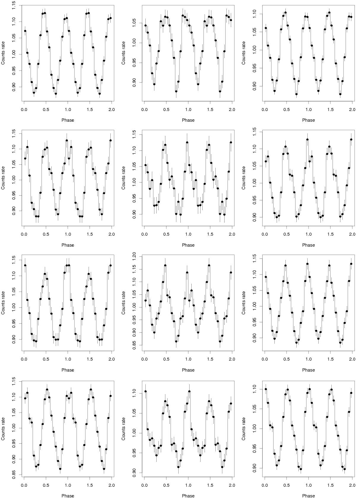
Fig. B.1

image

Phase-folded light curves in different energy bands, 0.160.38 keV, 0.381.6 keV, and 0.161.6 keV left, middle, and right panels, accordingly, of RX J0720.43125 for pointed XMM-Newton EPIC-pn observations 0124100101, 0156960201, 0156960401, and 0164560501.

Current usage metrics show cumulative count of Article Views (full-text article views including HTML views, PDF and ePub downloads, according to the available data) and Abstracts Views on Vision4Press platform.

Data correspond to usage on the plateform after 2015. The current usage metrics is available 48-96 hours after online publication and is updated daily on week days.

Initial download of the metrics may take a while.