Highlight
Free Access

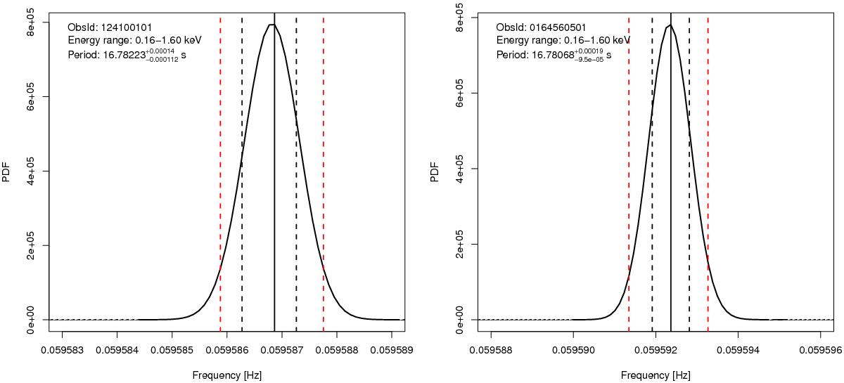
Fig. 3

image

Estimated most probable spin frequencies of RX J0720.43125 (for details, see text and Table 2) obtained by application of the GL method for periodicity searching in the broad energy band for ObsIds 0124100101 and 0164560501 (XMM-Newton EPIC-pn Full Frame mode). The highest posterior density (HPD) intervals, 68% and 95%, are determined as a probabilistic region around a posterior mode and depicted as vertical dashed lines in black and red, respectively.

This figure is made of several images, please see below:

Current usage metrics show cumulative count of Article Views (full-text article views including HTML views, PDF and ePub downloads, according to the available data) and Abstracts Views on Vision4Press platform.

Data correspond to usage on the plateform after 2015. The current usage metrics is available 48-96 hours after online publication and is updated daily on week days.

Initial download of the metrics may take a while.