Highlight
Free Access

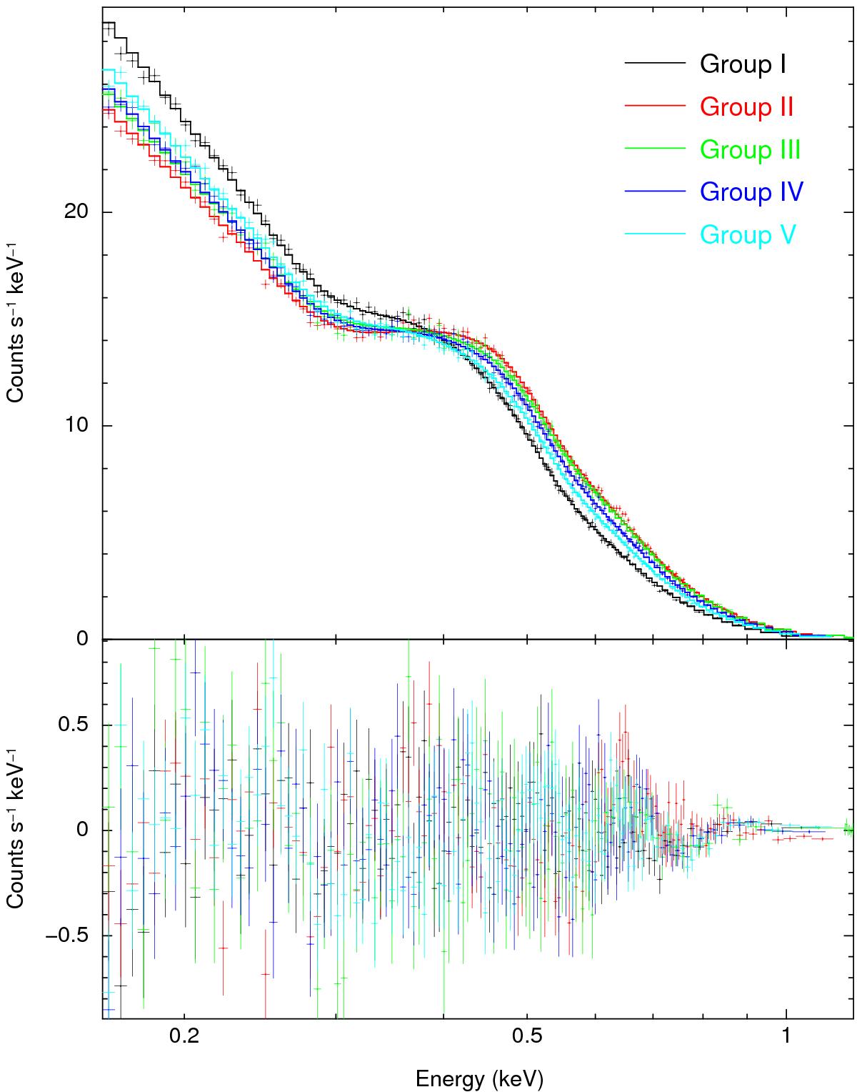
Fig. 6

image

Combined spin-phase averaged spectra and simultaneously-fit spectral model of an absorbed blackbody and a Gaussian absorption line for RX J0720.43125. We note that the observed flux is almost the same before and after the variation at E0 ~ 0.38 keV.

Current usage metrics show cumulative count of Article Views (full-text article views including HTML views, PDF and ePub downloads, according to the available data) and Abstracts Views on Vision4Press platform.

Data correspond to usage on the plateform after 2015. The current usage metrics is available 48-96 hours after online publication and is updated daily on week days.

Initial download of the metrics may take a while.