Highlight
Free Access

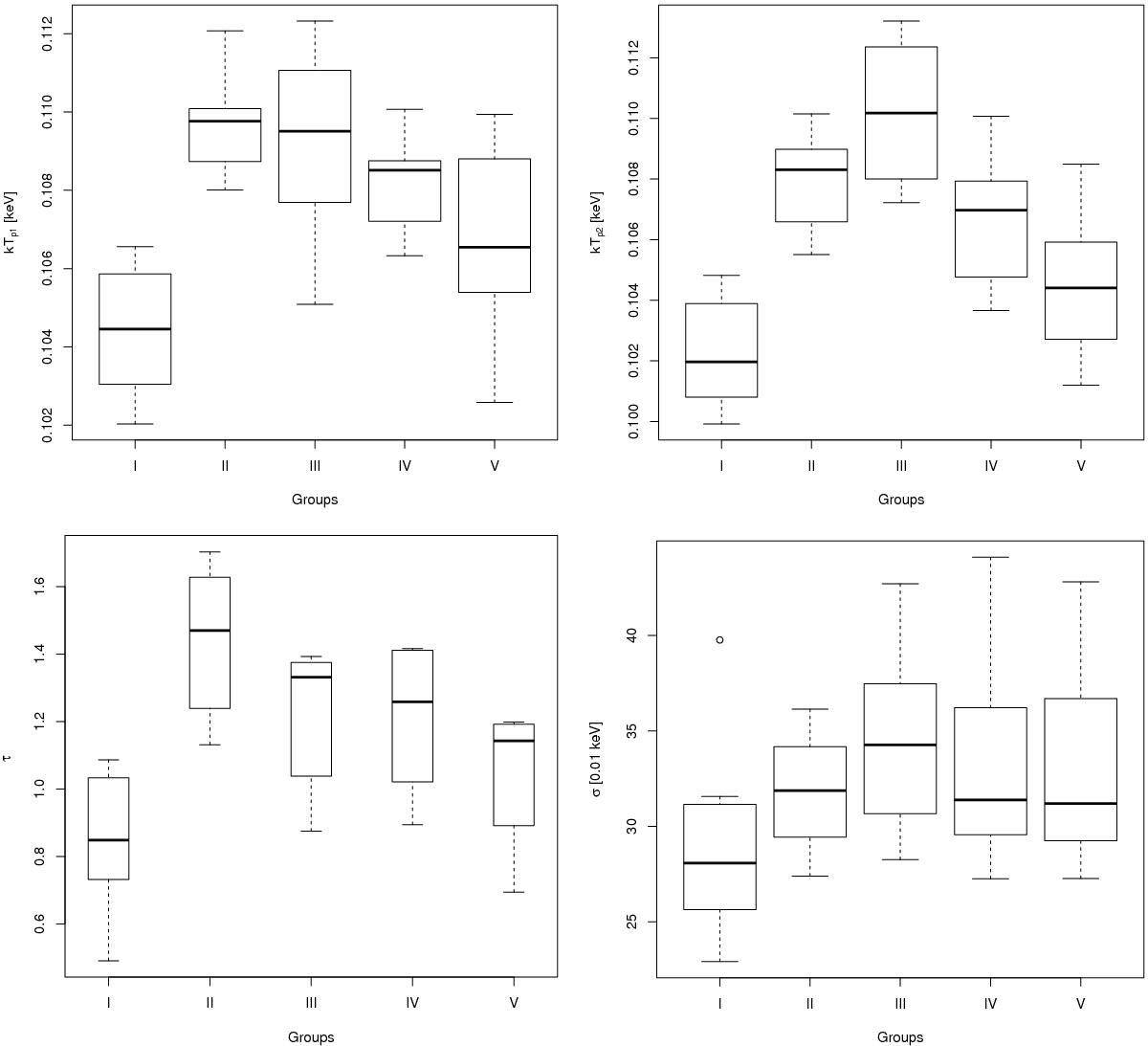
Fig. 7

image

Box-plots of the MCMC fit parameters kTp1,kTp2 (upper panel) and τ,σ (bottom panel) in the energy band of 0.162.0 keV of RX J0720.43125 for different groups combined from multi-epoch pointed XMM-Newton EPIC-pn observations with spectral model of a condensed iron surface and a partially ionized hydrogen atmosphere (for details see text and Table 4).

This figure is made of several images, please see below:

Current usage metrics show cumulative count of Article Views (full-text article views including HTML views, PDF and ePub downloads, according to the available data) and Abstracts Views on Vision4Press platform.

Data correspond to usage on the plateform after 2015. The current usage metrics is available 48-96 hours after online publication and is updated daily on week days.

Initial download of the metrics may take a while.