Free Access

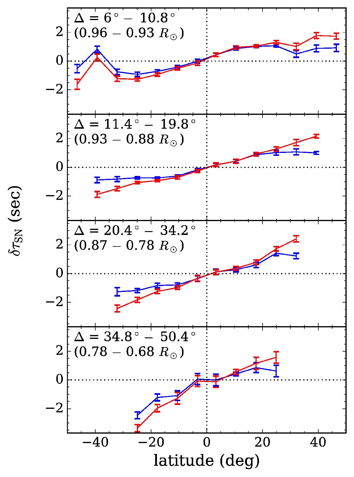
Fig. 5

image

Comparisons of δτSN between MDI (blue) and HMI (red) without center-to-limb correction as a function of latitude for different ranges of travel distances. A P-angle correction of 0.21° is applied to the MDI observations. The range of travel distances and their corresponding radii of the lower turning point from the ray approximation are indicated in each panel; the shallowest is shown at the top and the deepest at the bottom. The data values are binned every 7.2° in latitude. The error bars give the standard error of the mean in each binning interval.

Current usage metrics show cumulative count of Article Views (full-text article views including HTML views, PDF and ePub downloads, according to the available data) and Abstracts Views on Vision4Press platform.

Data correspond to usage on the plateform after 2015. The current usage metrics is available 48-96 hours after online publication and is updated daily on week days.

Initial download of the metrics may take a while.