Gaia Data Release 1
Free Access

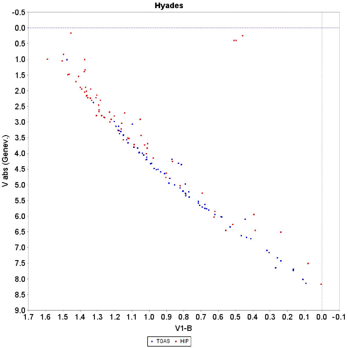
Fig. 13

image

Absolute magnitudes and colour indices in the Geneva photometry for cluster members, after applying distance moduli based on individual kinematically improved parallaxes. The red dots represent stars not present in the TGAS catalogue, but with similarly treated data in fvl09.

Current usage metrics show cumulative count of Article Views (full-text article views including HTML views, PDF and ePub downloads, according to the available data) and Abstracts Views on Vision4Press platform.

Data correspond to usage on the plateform after 2015. The current usage metrics is available 48-96 hours after online publication and is updated daily on week days.

Initial download of the metrics may take a while.