Gaia Data Release 1
Free Access

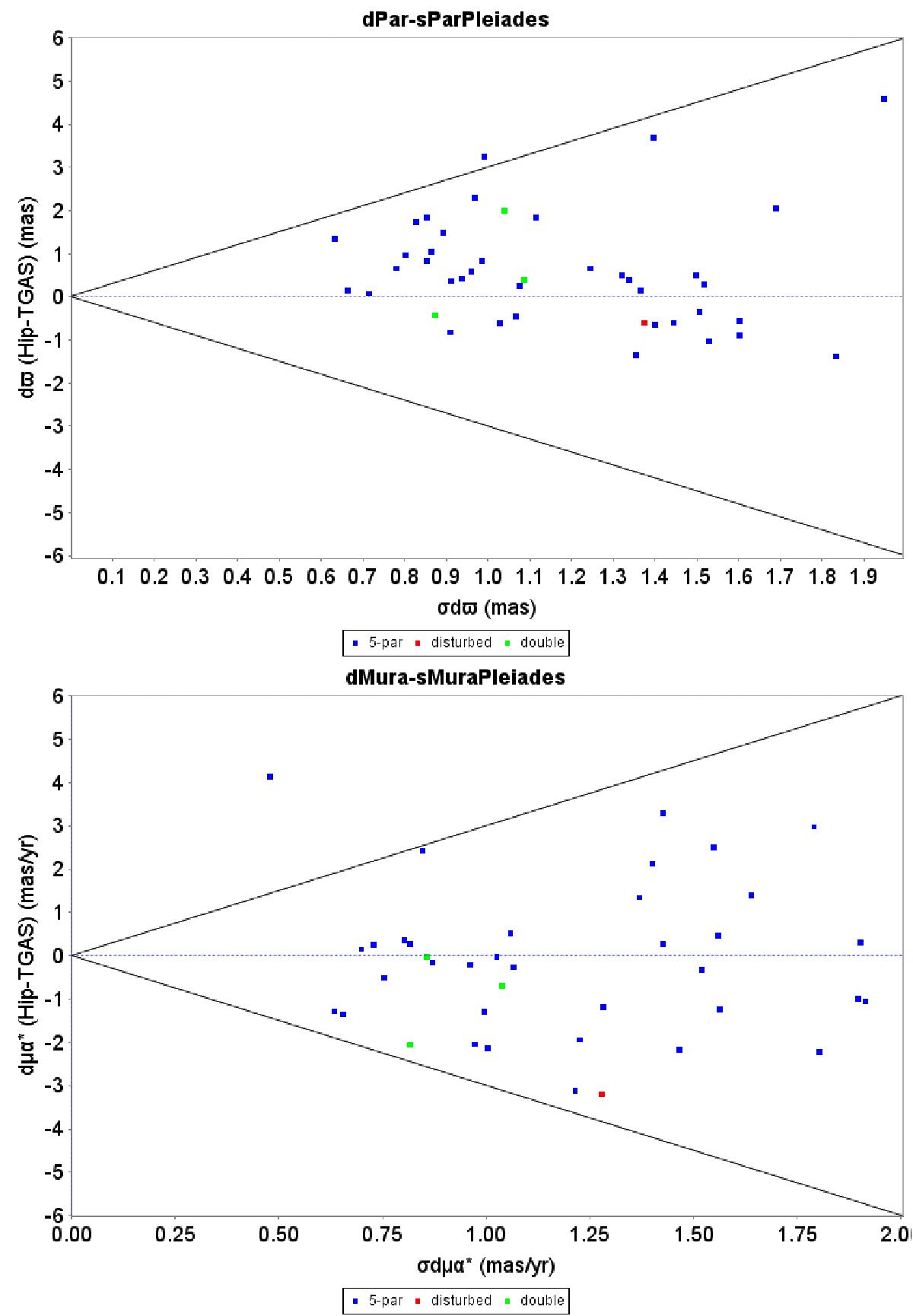
Fig. 21

image

Differences in parallax (top) and proper motion in Right Ascension (bottom) between the Hipparcos and TGAS solutions, for members of the Pleiades cluster, and as a function of the errors on the differences.

This figure is made of several images, please see below:

Current usage metrics show cumulative count of Article Views (full-text article views including HTML views, PDF and ePub downloads, according to the available data) and Abstracts Views on Vision4Press platform.

Data correspond to usage on the plateform after 2015. The current usage metrics is available 48-96 hours after online publication and is updated daily on week days.

Initial download of the metrics may take a while.