Gaia Data Release 1
Free Access

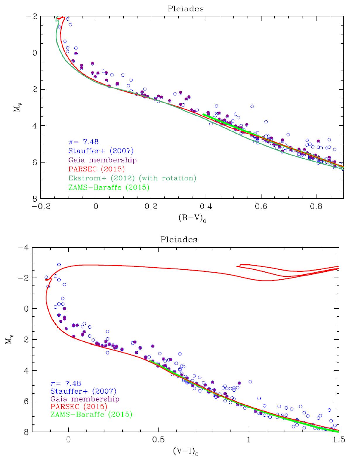
Fig. 25

image

MV, (BV)0 HR diagram of the Pleiades, with several sets of commonly used isochrones (top). Filled dots: mebers confirmed with Gaia data; open dots: other cluster members. Bottom panel is the analogous in the MV, (VI)0. We assume an age of 130 Myr, solar metallicity, AV = 0.1.

This figure is made of several images, please see below:

Current usage metrics show cumulative count of Article Views (full-text article views including HTML views, PDF and ePub downloads, according to the available data) and Abstracts Views on Vision4Press platform.

Data correspond to usage on the plateform after 2015. The current usage metrics is available 48-96 hours after online publication and is updated daily on week days.

Initial download of the metrics may take a while.