Free Access

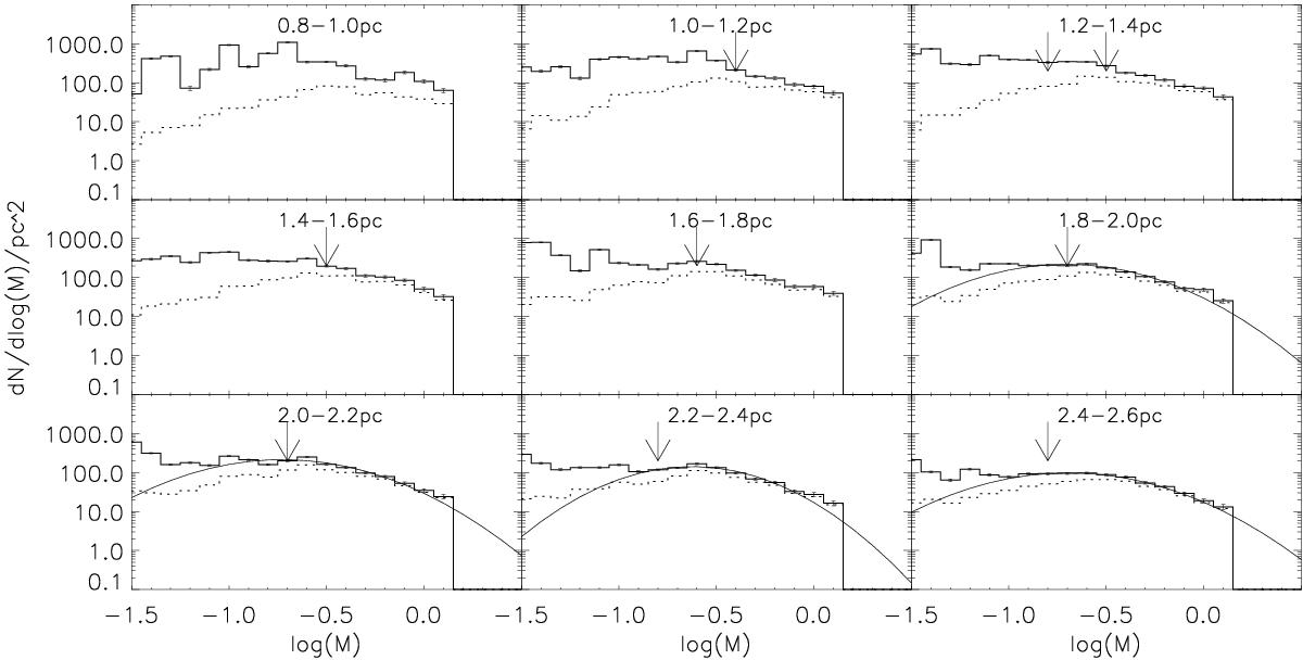
Fig. 13

image

Same as Fig. 12 but here for the Baraffe et al. (1998) 4 Myr isochrone and shifted to a distance of 4.8 kpc. The arrows indicate the 50% completeness limit as determined in the artificial star experiments. Log-normal fits are performed below 1 M down to the 50% completeness limit and shown as solid lines.

Current usage metrics show cumulative count of Article Views (full-text article views including HTML views, PDF and ePub downloads, according to the available data) and Abstracts Views on Vision4Press platform.

Data correspond to usage on the plateform after 2015. The current usage metrics is available 48-96 hours after online publication and is updated daily on week days.

Initial download of the metrics may take a while.