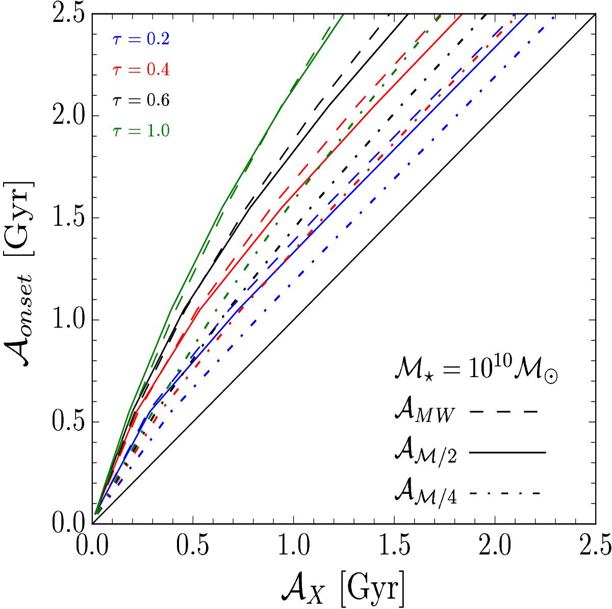
Fig. 3

Comparison of different age definitions to the age defined as the onset of star formation
. Different colours indicate different timescales for the SFH: τSFH = 0.4 Gyr in red, τSFH = 0.6 Gyr in black, and τSFH = 1.0 Gyr in green. The different line styles correspond to three age definitions: solid line for half-mass ages (
), dashed line for mass weighted ages (
), and dot-dashed line for quarter-mass ages (
).
Current usage metrics show cumulative count of Article Views (full-text article views including HTML views, PDF and ePub downloads, according to the available data) and Abstracts Views on Vision4Press platform.
Data correspond to usage on the plateform after 2015. The current usage metrics is available 48-96 hours after online publication and is updated daily on week days.
Initial download of the metrics may take a while.