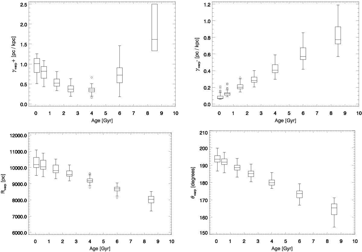
Fig. 7

Dependence of warp parameters: amplitude in the second quadrant (top left) and in the third quadrant (top right); starting radius (bottom left) and angle (bottom right) obtained in sim-2 using Eqs. (9) to (12) with parameters provided in Table 6. Circles represents outliers (see text). In the top left panel, the whiskers are not shown at 8.5 Gyr because they are too large (0.371 and 3.639).
Current usage metrics show cumulative count of Article Views (full-text article views including HTML views, PDF and ePub downloads, according to the available data) and Abstracts Views on Vision4Press platform.
Data correspond to usage on the plateform after 2015. The current usage metrics is available 48-96 hours after online publication and is updated daily on week days.
Initial download of the metrics may take a while.