Fig. 15

image

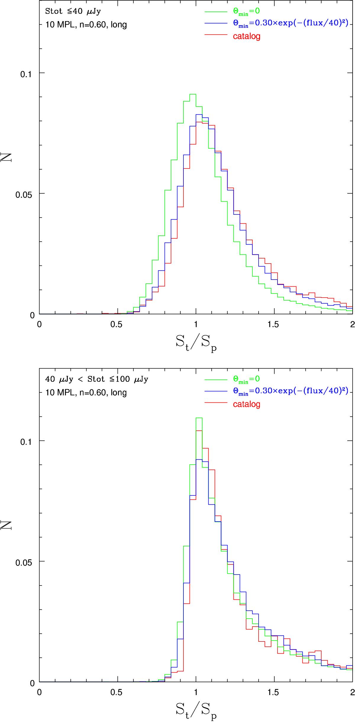
Total-to-peak flux density ratio distributions in two total flux density ranges: St ≤ 40μJy (top panel) and 40 <St ≤ 100μJy (bottom panel). Each panel shows the distribution of the observed sources (red histogram) that was derived from the 10 sets of simulations using an elongated geometry and n = 0.6, no minimum angular size (green histogram) and with a minimum angular size θmin = 0.3e− (St/ 40 μJy)2 (blue histogram).

This figure is made of several images, please see below:

Current usage metrics show cumulative count of Article Views (full-text article views including HTML views, PDF and ePub downloads, according to the available data) and Abstracts Views on Vision4Press platform.

Data correspond to usage on the plateform after 2015. The current usage metrics is available 48-96 hours after online publication and is updated daily on week days.

Initial download of the metrics may take a while.