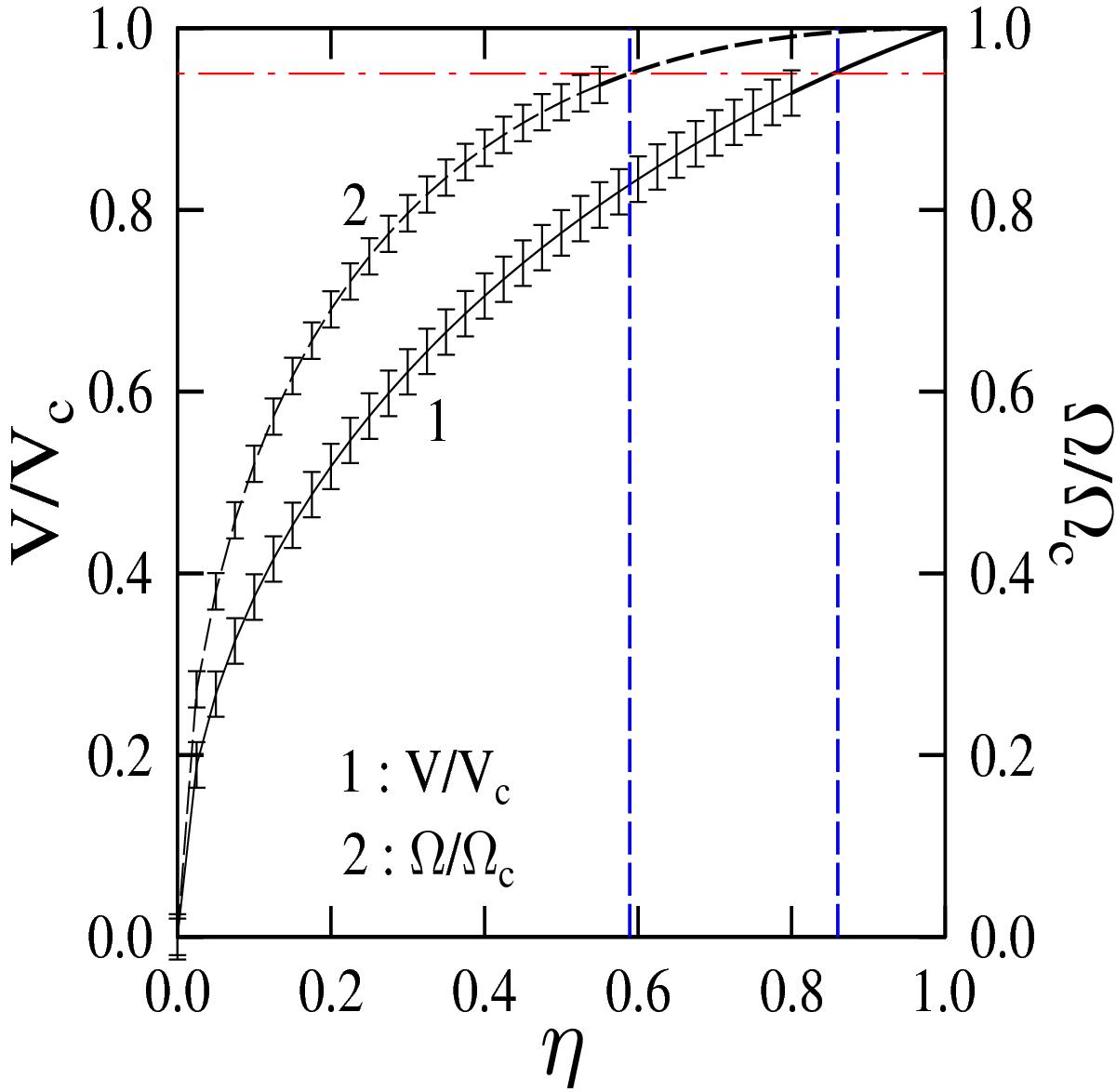
Fig. 10

Angular velocity ratio Ω/Ωc as a function of η, where the uncertainty bars indicate differences for masses and ages in the main-sequence phase. It is shown that Ω/Ωc ≃ 0.95 (red line) identifies the force ratio η ≃ 0.6 at the equator, which implies a 40% under-critical rotation. The ratio V/Vc ≃ 0.95 (red line) corresponds to η ≃ 0.86.
Current usage metrics show cumulative count of Article Views (full-text article views including HTML views, PDF and ePub downloads, according to the available data) and Abstracts Views on Vision4Press platform.
Data correspond to usage on the plateform after 2015. The current usage metrics is available 48-96 hours after online publication and is updated daily on week days.
Initial download of the metrics may take a while.