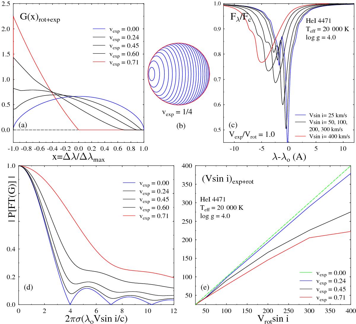
Fig. 16

a) Tested truncated rotation-expansion broadening functions (REBF) for several velocity ratios . b) Loci of points with the same projected velocity in the interval of Doppler displacements
that contribute to the broadening of line profiles when vexp = 0.24. c) He i 4471 line profiles broadened for several input rotation velocities Vrotsini and velocity ratio Vexp/Vrot = 1.0. d) FT of the REBF. e) Resulting Vsiniexp + rot parameters produced in the frame of an expanding and rotating atmosphere against the model input Vrotsini for several ratios vexp.
Current usage metrics show cumulative count of Article Views (full-text article views including HTML views, PDF and ePub downloads, according to the available data) and Abstracts Views on Vision4Press platform.
Data correspond to usage on the plateform after 2015. The current usage metrics is available 48-96 hours after online publication and is updated daily on week days.
Initial download of the metrics may take a while.