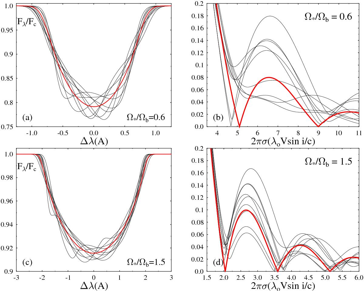
Fig. 17

a) Model line profiles of the primary star broadened by rotation and perturbed by tidal interactions in a binary system with sub-synchronous rotation (Ω∗ stellar angular velocity; Ωb circular orbital angular velocity). b) FT of spectral lines shown in a). c) Model line profiles of the primary star broadened by rotation and perturbed by tidal interactions in a binary system with super-synchronous rotation. d) FT of spectral lines shown in c). The red lines are either for the averaged line profiles, which represent the tidally unperturbed rotationally broadened line profile, or for the FT of the averaged line profile.
Current usage metrics show cumulative count of Article Views (full-text article views including HTML views, PDF and ePub downloads, according to the available data) and Abstracts Views on Vision4Press platform.
Data correspond to usage on the plateform after 2015. The current usage metrics is available 48-96 hours after online publication and is updated daily on week days.
Initial download of the metrics may take a while.