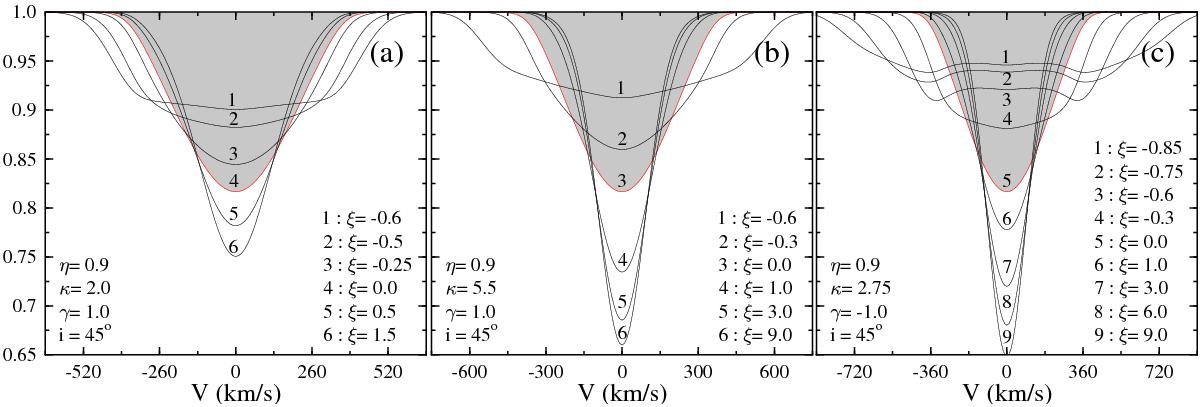
Fig. 3

Rotationally broadened line profiles of an isolated Gaussian line, whose intensity and equivalent width depends on the effective temperature and gravity such as a He i 4471 transition. Calculations include gravitational darkening. The parent non-rotating object has Teff = 22 000 K and log g = 4.0. The angular velocity law is given by Eq. (3) with the same parameters (κ,γ,η,i) as in the corresponding block in Fig. 2, except that ξ has a wider range of values. The case ξ = 0 represents the rigid rotation and the corresponding line profile is highlighted with shading. In all blocks the ordinates are the same.
Current usage metrics show cumulative count of Article Views (full-text article views including HTML views, PDF and ePub downloads, according to the available data) and Abstracts Views on Vision4Press platform.
Data correspond to usage on the plateform after 2015. The current usage metrics is available 48-96 hours after online publication and is updated daily on week days.
Initial download of the metrics may take a while.