Fig. 8

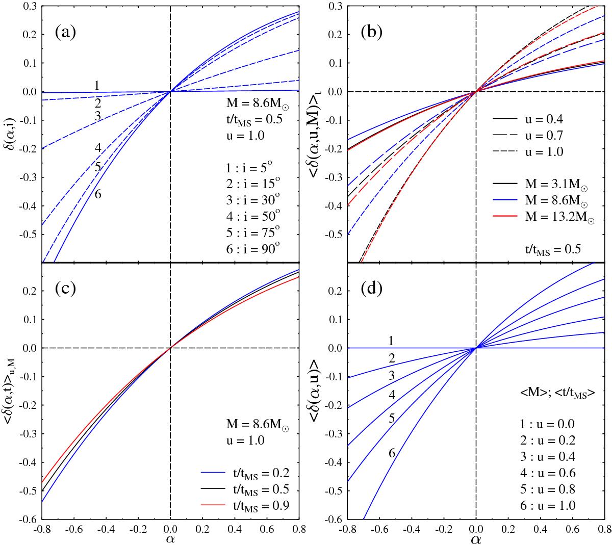
a) Deviation parameter δ(α,u,i) as a function of α for u = Ve/Vc = 1.0, mass M/M⊙ = 8.6, and fractional age t/tMS = 0.5, and for several inclination angles 5° < i < 90°. b) Inclination-averaged deviation ⟨ α(α,u) ⟩ for velocity ratios u = Ve/Vc = 0.4, 0.7, 1.0 in objects with masses M/M⊙ = 3.1, 8.6, 13.2 at fractional age t/tMS = 0.5. c) Inclination-averaged deviation ⟨ α(α,t) ⟩ for M/M⊙ = 8.6 at fractional agest/tMS = 0.2, 0.5, 0.9 rotating at u = 1.0. d) The adopted inclination-mass-age-averaged deviation ⟨ δ ⟩ as a function of α for different values of the ratio u.
Current usage metrics show cumulative count of Article Views (full-text article views including HTML views, PDF and ePub downloads, according to the available data) and Abstracts Views on Vision4Press platform.
Data correspond to usage on the plateform after 2015. The current usage metrics is available 48-96 hours after online publication and is updated daily on week days.
Initial download of the metrics may take a while.