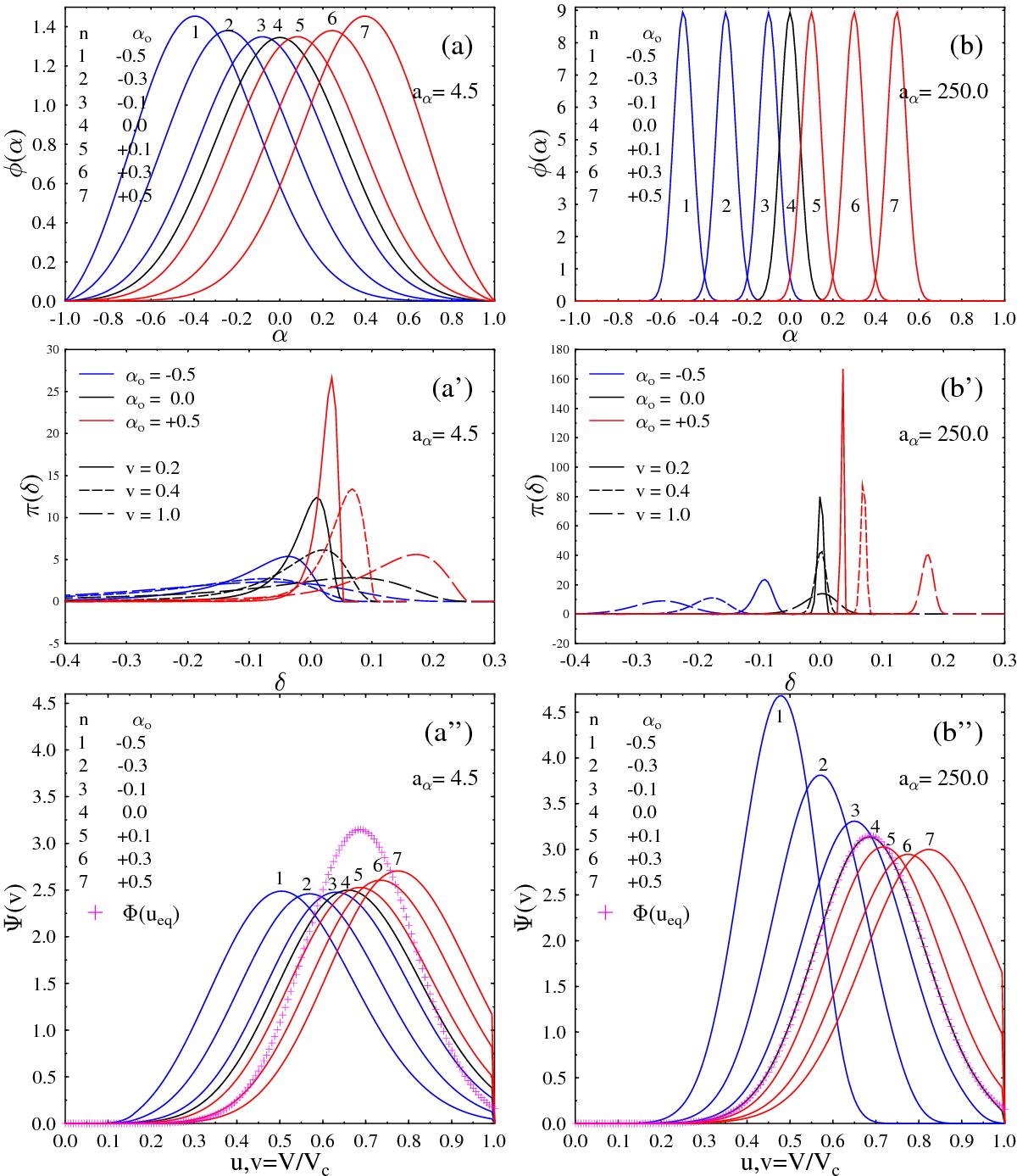
Fig. 9

a) Assumed occurrence probability functions φ(α) of the differential rotation parameter α with aα = 4.5; α0< 0 (blue curves), α0 = 0 (black curve), α0> 0 (red curves). b) Idem as in a), but for aα = 250.0. a’) Occurrence probability functions π(δ) of the differential rotation parameter δ with aα = 4.5 for different values of α0 and true velocity ratios u. b’) Idem as in a’), but for aα = 250.0. a”) Distributions Ψ(v) of the equatorial velocity ratios v = V/Vc, where v is now affected by the differential rotation according to the distributions φ(α) of the parameter α given in a). b”) Idem as in a”), but for φ(α) shown in b). In a”) and b”) is also shown the assumed distribution Φ(ueq) (magenta crosses).
Current usage metrics show cumulative count of Article Views (full-text article views including HTML views, PDF and ePub downloads, according to the available data) and Abstracts Views on Vision4Press platform.
Data correspond to usage on the plateform after 2015. The current usage metrics is available 48-96 hours after online publication and is updated daily on week days.
Initial download of the metrics may take a while.