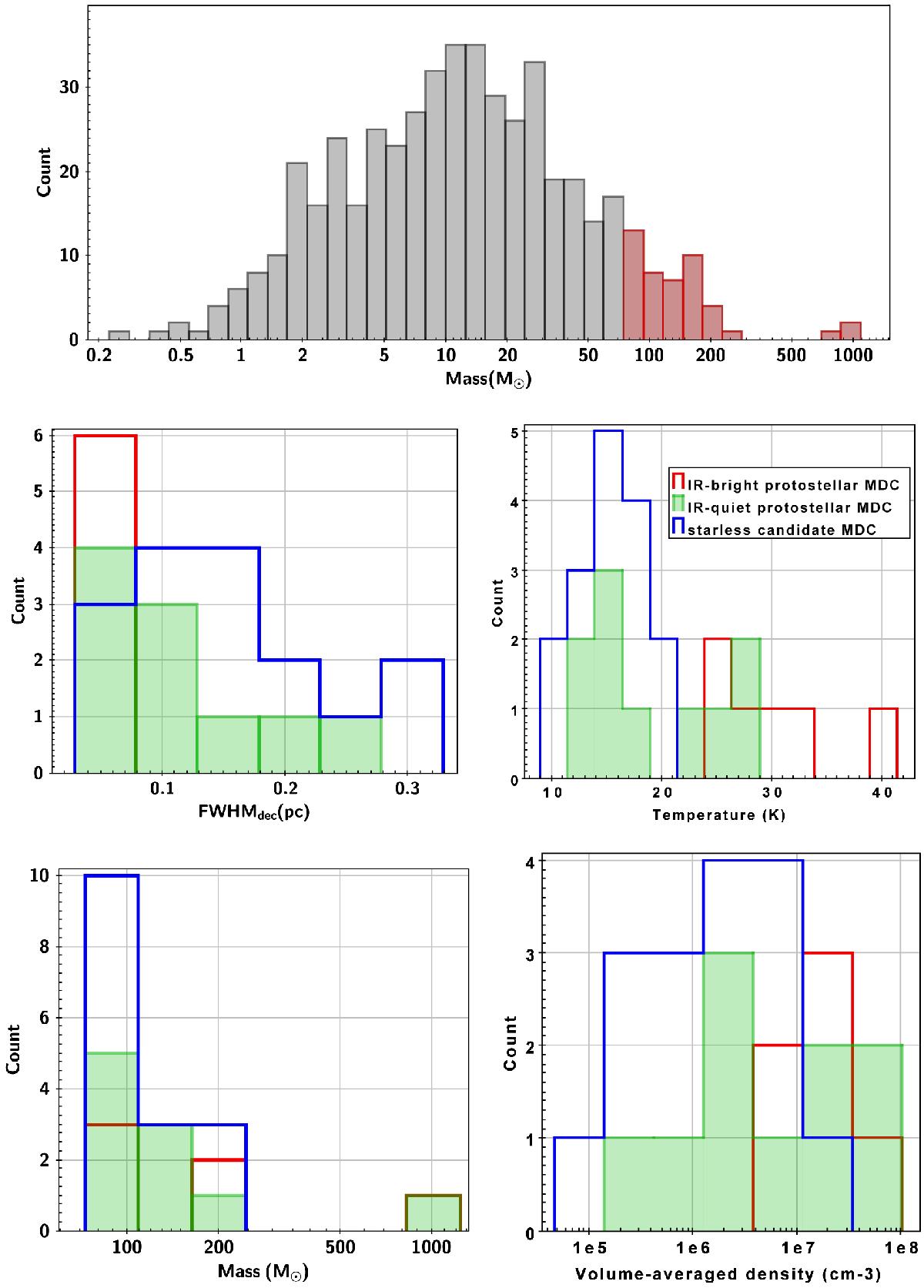
Fig. 3

Mass distribution of the 490 dense cores (gray histogram) and 46 MDCs (red histogram) of NGC 6334 (top). Sample is estimated to be complete down to ~15 M⊙. Distributions of the deconvolved FWHM (middle-left), temperature (middle-right), mass (bottom-left), and volume-averaged density (bottom-right) for the 32 reliable MDCs at various evolutionary phases (blue = starless candidate, green = IR-quiet protostellar, red = IR-bright). MDCs become more massive, hotter, smaller, and thus denser along the high-mass star formation process.
Current usage metrics show cumulative count of Article Views (full-text article views including HTML views, PDF and ePub downloads, according to the available data) and Abstracts Views on Vision4Press platform.
Data correspond to usage on the plateform after 2015. The current usage metrics is available 48-96 hours after online publication and is updated daily on week days.
Initial download of the metrics may take a while.