Free Access
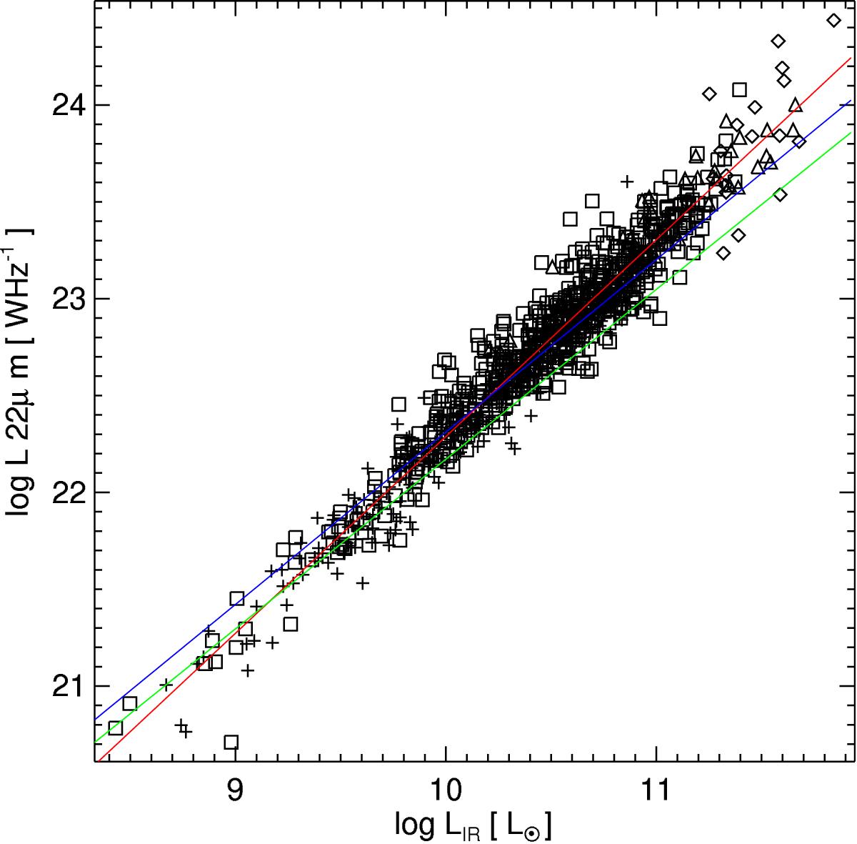
Fig. E.4

Correlation between the luminosity at 22 μm and the total IR luminosity. The red line shows the best fit, blue and green lines are the best-fit lines obtained by Rieke et al. (2009) and Jarrett et al. (2013), respectively, from the SFR, and the luminosity at 22 μm. Symbols represent the same sSFR as in Fig. 10
Current usage metrics show cumulative count of Article Views (full-text article views including HTML views, PDF and ePub downloads, according to the available data) and Abstracts Views on Vision4Press platform.
Data correspond to usage on the plateform after 2015. The current usage metrics is available 48-96 hours after online publication and is updated daily on week days.
Initial download of the metrics may take a while.