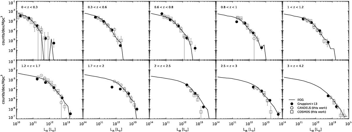
Fig. D.1

Infrared luminosity (LIR) function at various redshifts. The solid line is the output of EGG. It is compared against observations from our own catalogs in CANDELS (open circles) and COSMOS 2 deg2 (open squares), and the results of Gruppioni et al. (2013) in the same fields (filled circles). All observations use either Spitzer MIPS or Herschel photometry to derive LIR.
Current usage metrics show cumulative count of Article Views (full-text article views including HTML views, PDF and ePub downloads, according to the available data) and Abstracts Views on Vision4Press platform.
Data correspond to usage on the plateform after 2015. The current usage metrics is available 48-96 hours after online publication and is updated daily on week days.
Initial download of the metrics may take a while.