Free Access

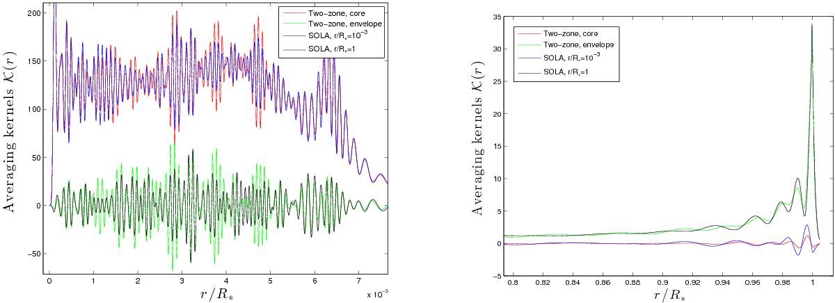
Fig. 10

image

Averaging kernels for both SOLA inversions at r/R = 10-3, r/R = 1 and a two-zone model with xc = 0.1 (from the best model of KIC 007619745). The left panel shows the central region, and the right panel shows the surface region.

Current usage metrics show cumulative count of Article Views (full-text article views including HTML views, PDF and ePub downloads, according to the available data) and Abstracts Views on Vision4Press platform.

Data correspond to usage on the plateform after 2015. The current usage metrics is available 48-96 hours after online publication and is updated daily on week days.

Initial download of the metrics may take a while.