Free Access
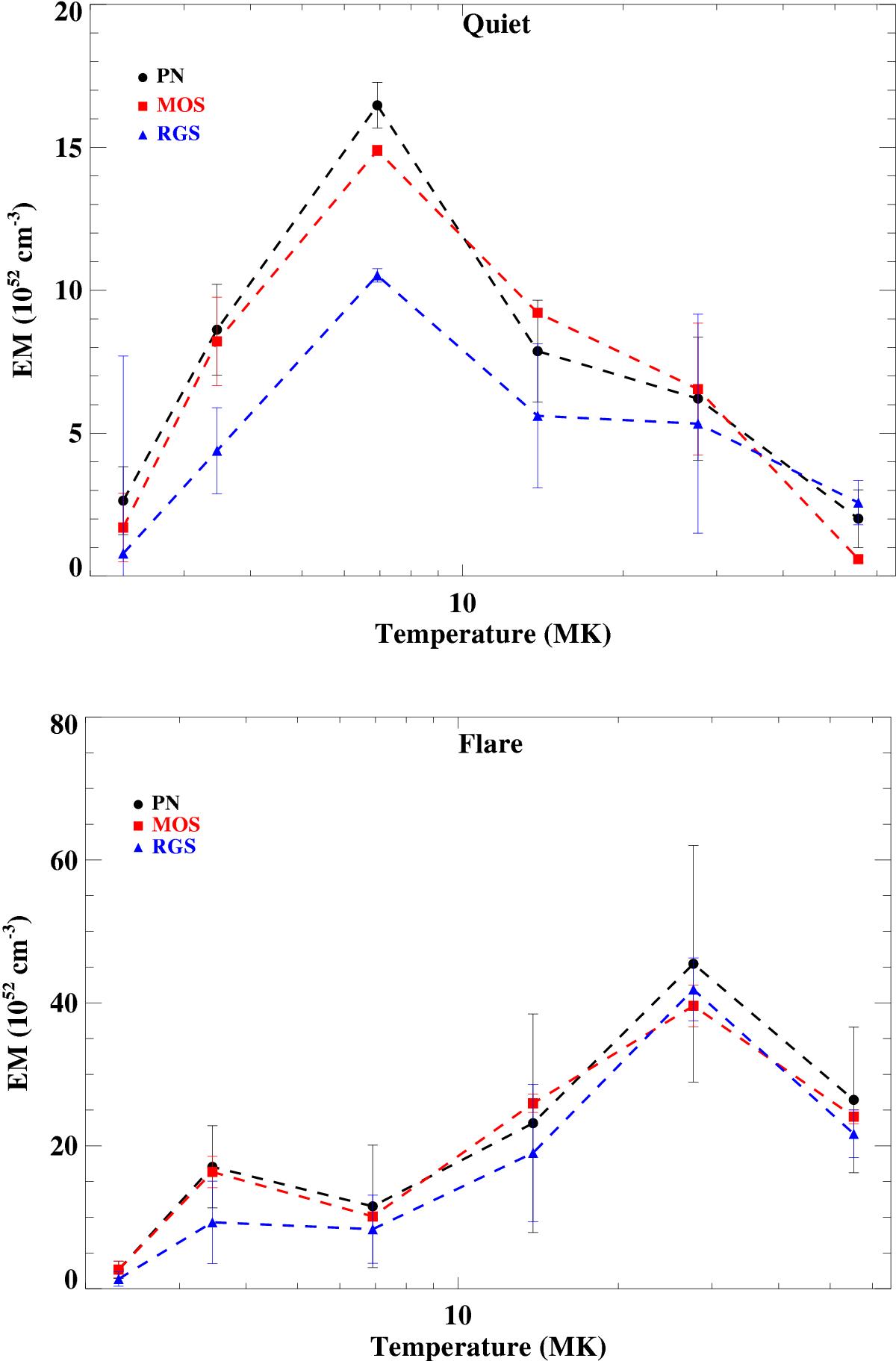
Fig. 8

EMDs of LO Peg during different states of activity derived from PN (black filled circles), MOS (red filled squares) and RGS (blue filled triangles) data. The upper panel shows quiescent phase and lower panel shows flaring state of LO Peg.
This figure is made of several images, please see below:
Current usage metrics show cumulative count of Article Views (full-text article views including HTML views, PDF and ePub downloads, according to the available data) and Abstracts Views on Vision4Press platform.
Data correspond to usage on the plateform after 2015. The current usage metrics is available 48-96 hours after online publication and is updated daily on week days.
Initial download of the metrics may take a while.