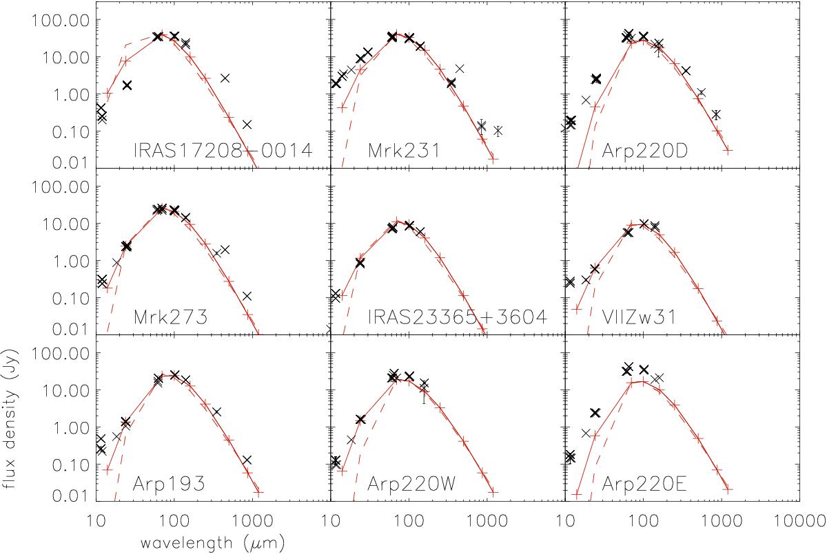
Fig. C.2

Infrared SEDs of the sample of ultraluminous infrared galaxies. Red plus symbols and solid line represent model SED. Red dashed line is the modified Planck fit for temperature determination. Black crosses represent VizieR photometry. The errors bars are shown if present in the VizieR tables, but often barely visible. The SED of Arp 220 was multiplied by 0.2, 0.3, and 0.2 for Arp 220D, Arp 220W, and Arp 220E, respectively (see Sect. 6.2).
Current usage metrics show cumulative count of Article Views (full-text article views including HTML views, PDF and ePub downloads, according to the available data) and Abstracts Views on Vision4Press platform.
Data correspond to usage on the plateform after 2015. The current usage metrics is available 48-96 hours after online publication and is updated daily on week days.
Initial download of the metrics may take a while.