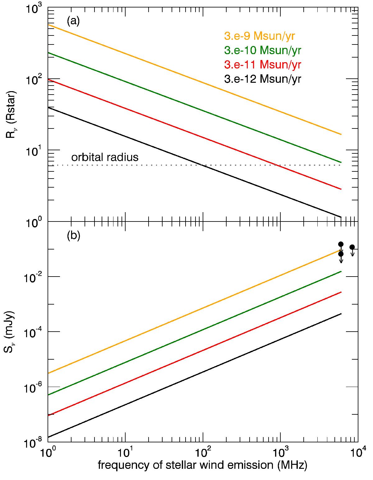
Fig. 4

a) Size of the stellar wind radio-emitting region as a function of frequency for a range of stellar mass-loss rates: 3 × 10-12M⊙ yr-1 to 3 × 10-9M⊙ yr-1 from bottom to top solid lines. The dotted line indicates the orbital radius of V830 Tau b. b) The same as in a), but for the flux density of the emitting wind, Sν. Circles are the upper limits for the radio emission of V830 Tau b as presented by Bower et al. (2016).
Current usage metrics show cumulative count of Article Views (full-text article views including HTML views, PDF and ePub downloads, according to the available data) and Abstracts Views on Vision4Press platform.
Data correspond to usage on the plateform after 2015. The current usage metrics is available 48-96 hours after online publication and is updated daily on week days.
Initial download of the metrics may take a while.