Free Access
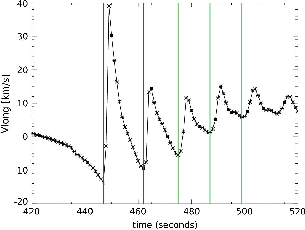
Fig. 6

Temporal evolution of the longitudinal velocity at a random location above the null point, for simulation times between 420 and 520 s. The vertical green lines mark the oscillation period. The asterisks represent the values of the velocity in each stored snapshot.
Current usage metrics show cumulative count of Article Views (full-text article views including HTML views, PDF and ePub downloads, according to the available data) and Abstracts Views on Vision4Press platform.
Data correspond to usage on the plateform after 2015. The current usage metrics is available 48-96 hours after online publication and is updated daily on week days.
Initial download of the metrics may take a while.