Free Access
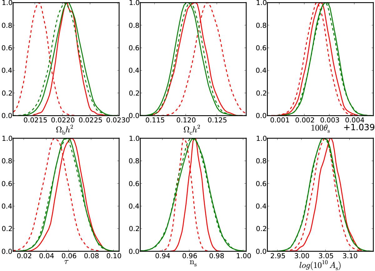
Fig. 17

Posterior distribution for the cosmological parameters when foregrounds are fixed either to their best-fit value (solid lines) or to the expected astrophysical value (dashed lines) for hlpT (red) and hlpX (green).
Current usage metrics show cumulative count of Article Views (full-text article views including HTML views, PDF and ePub downloads, according to the available data) and Abstracts Views on Vision4Press platform.
Data correspond to usage on the plateform after 2015. The current usage metrics is available 48-96 hours after online publication and is updated daily on week days.
Initial download of the metrics may take a while.