Free Access

This article has an erratum: [https://doi.org/10.1051/0004-6361/201629858e]


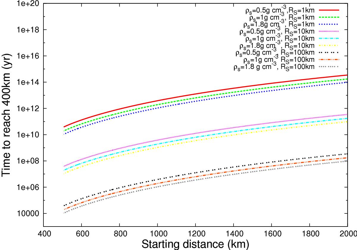
Fig. 4

image

Tidal-evolution travel timescale, τ12, due to the tides raised on the Centaur, as a function of the starting distance assumed to be larger than 500 km, for different values of the radius of the satellite and its density.

Current usage metrics show cumulative count of Article Views (full-text article views including HTML views, PDF and ePub downloads, according to the available data) and Abstracts Views on Vision4Press platform.

Data correspond to usage on the plateform after 2015. The current usage metrics is available 48-96 hours after online publication and is updated daily on week days.

Initial download of the metrics may take a while.