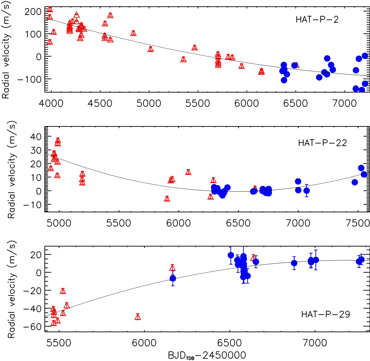
Fig. 5

Radial-velocity residuals of HAT-P-2 (top), HAT-P-22 (middle), and HAT-P-29 (bottom) after removing the orbital signal of their inner giant planets (HAT-P-2b, HAT-P-22b, and HAT-P-29b). Red triangles and blue circles indicate the HIRES and HARPS-N measurements. The SOPHIE RVs of HAT-P-2 are not displayed here because of their relatively short timespan, although they were used for the orbital fit (Tables 5 and 8). Formal error bars that are lower than symbol sizes cannot be seen.
Current usage metrics show cumulative count of Article Views (full-text article views including HTML views, PDF and ePub downloads, according to the available data) and Abstracts Views on Vision4Press platform.
Data correspond to usage on the plateform after 2015. The current usage metrics is available 48-96 hours after online publication and is updated daily on week days.
Initial download of the metrics may take a while.