Free Access

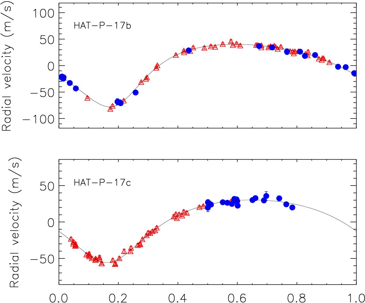
Fig. 6

image

Keplerian best fits to the RV curves of the inner giant planet HAT-P-17b (top) and its outer long-period (P ~ 4000 d) companion HAT-P-17c (bottom). HIRES and HARPS-N data are shown with red triangles and blue circles. Formal error bars of the RVs are usually smaller than symbol sizes.

Current usage metrics show cumulative count of Article Views (full-text article views including HTML views, PDF and ePub downloads, according to the available data) and Abstracts Views on Vision4Press platform.

Data correspond to usage on the plateform after 2015. The current usage metrics is available 48-96 hours after online publication and is updated daily on week days.

Initial download of the metrics may take a while.