Open Access
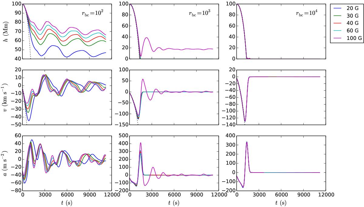
Fig. 4

Height (top), velocity (middle), and acceleration (bottom) profiles of the condensation for different values of blob density contrast and magnitude of the magnetic field strength. The dotted line shows the free-fall height and velocity profiles.
Current usage metrics show cumulative count of Article Views (full-text article views including HTML views, PDF and ePub downloads, according to the available data) and Abstracts Views on Vision4Press platform.
Data correspond to usage on the plateform after 2015. The current usage metrics is available 48-96 hours after online publication and is updated daily on week days.
Initial download of the metrics may take a while.